* 최대공약수 구하기
Write an algorithm that finds the greatest common divisor of two integers.
#include<stdio.h>
int main()
{
int a, b; //2 integers
int gcd;
printf("Enter 2 int:");
scanf_s("%d %d", &a,&b);
for (int i = 1; i <= a; i++) {
if (a % i == 0 && b % i == 0)
gcd = i;
}
printf("%d", gcd);
return 0;
}
[ Output ]

* output 예상하기, 구하기
#include <iostream>
using namespace std;
int main(void) {
int i=1, j=0, n=6;
while (j <= n / 2) {
i = 1;
while (i <= j) {
cout << j << i;
i++;
}
j++;
}
return 0;
}
[ Output ]

*
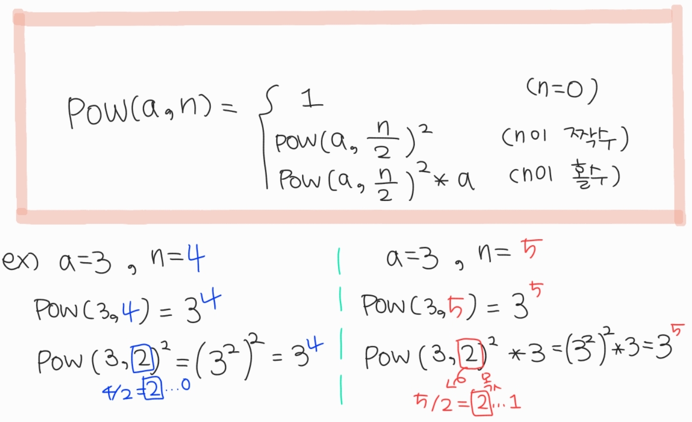
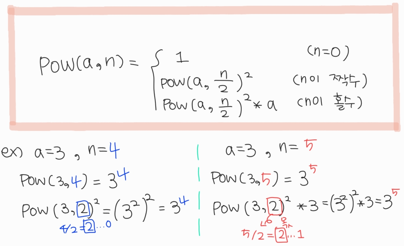
ive a algorithm that computes the remainder when is divided by . For simplicity, you may assume that is a power of . That is, for some positive integer .
#include<stdio.h>
int my_pow(int x, int n){
if(n==0) //exception(n = 2^k)
return 1;
else {
int root_x = my_pow(x, n / 2);
if (n % 2 == 0) //even exp(지수)
return root_x * root_x;
else //odd exp(지수)
return root_x * root_x * x;
}
}
int main()
{
int x = 3, n = 5;
int result = my_pow(x, n); //x^^n
int p = 4;
int mod = result % p; //(x^^n) % p
printf("%d", mod);
return 0;
}
[ Output ]
( 243 % 4 = 3 )

[ 참고자료 ]

(참고 onsil-thegreenhouse.github.io/programming/problem/2018/03/29/problem_math_power/ )
* 배열을 둘로 나눴을 때 각 배열의 합의 차가 최소가 되도록 나누기
(사실 원래 문제는 이거다..ㅠ
Give an algorithm for the following problem. Given a list of distinct positive integers, partition the list into two sublists, each of size , such that the difference between the sums of the integers in the two sublists is minimized. Determine the time complexity of your algorithm. You may assume that is a multiple of .)
#include<stdio.h>
#include<stdlib.h>
#define arr_size 6
int main() {
int left_sum=0, right_sum=0;
int sum = 0;
int num[arr_size] = { 5, 2, 1, 4, 6, 3 }; //array
for (int i = 0; i < arr_size; i++)
sum += num[i];
//printf("%d", sum);
right_sum = sum;
int diff = 99999999;
int diff_idx;
for (int j = 0; j < arr_size; j++) {
left_sum += num[j];
right_sum -= num[j];
if (abs(left_sum - right_sum) < diff) {
diff = abs(left_sum - right_sum);
diff_idx = j;
}
}
printf("diff_idx: %d", diff_idx);
return 0;
}
//원래는 딱 반을 나눴을 때 합의 차가 최소가 되도록 해야하는문제
//그냥 둘로 나눴을 때 합의 차가 최소가 되는 idx값 출력

[ Output ]

'알고리즘' 카테고리의 다른 글
| [ Python ] 백준 5585 (0) | 2021.06.14 |
|---|---|
| [ Python ] 코드업 1229 (0) | 2021.06.14 |
| [ C ] tromino (0) | 2021.04.02 |
| [ C ] 분할정복 - 하노이탑 (a divide-and-conquer algorithm for the Towers of Hanoi problem) (0) | 2021.04.01 |
| [ C ] _CRT_SECURE_NO_WARNINGS (scanf 에러 무시) (0) | 2021.03.30 |